Skip to main content
Version: DPX 4.9

Chapter 7: Updating Catalogic vStor

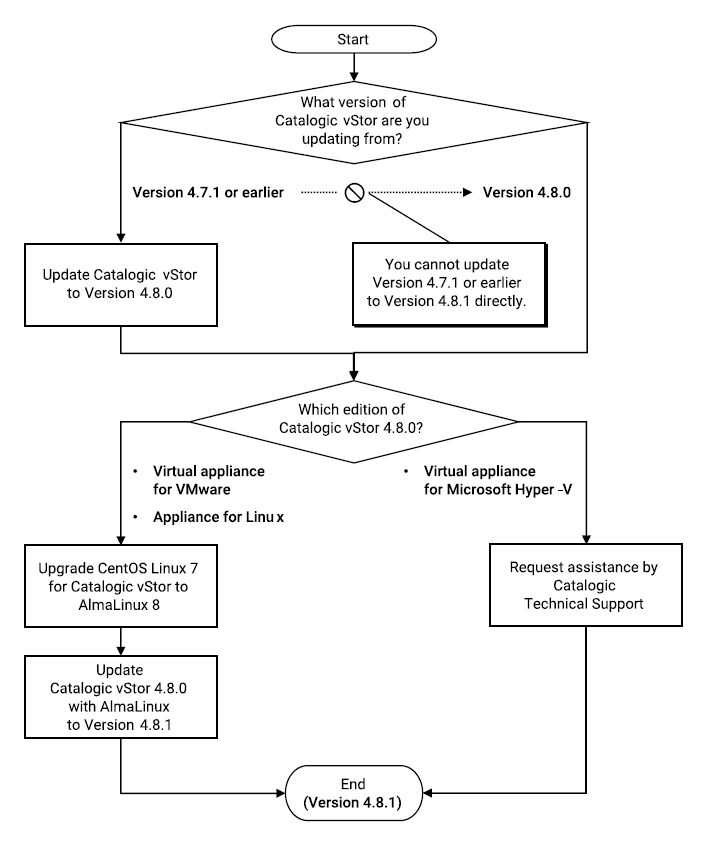
Like the Catalogic DPX Master Server, keep your Catalogic vStor up-to-date to enhance the product security and capability. In Version 4.8.1, Catalogic vStor requires AlmaLinux 8.5. To update Catalogic vStor from Version 4.8.0, you need to upgrade the operating system first and update the Catalogic vStor server on it. If you are using even earlier versions of Catalogic vStor, you need to update it to Version 4.8.0 first.

Attention!

Unlike the Catalogic DPX Master Server 4.8.0 for Linux or Microsoft Windows, Catalogic vStor 4.8.0 for Linux, which is sometimes referred to as "physical appliances", needs the operating system upgrade first.

If you are using Catalogic vStor virtual appliance for Microsoft Hyper-V, contact Catalogic Technical Support and request the product update.

[image expected here]

Updating earlier versions of Catalogic DPX to Version 4.8.1